Enunciados de questões e informações de concursos

Universidade de Brasília
Questão 1 de 1
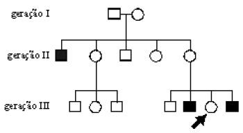
Assunto: Heredogramas

Humanos podem tornar-se incapazes de andar em decorrência de determinadas doenças conhecidas como distrofias musculares progressivas. A forma mais grave dessas doenças é a distrofia muscular de Duchenne, uma doença de origem genética com expressão fenotípica recessiva, em que ocorre uma mutação no gene localizado no cromossomo X, que codifica a proteína distrofina. Essa mutação causa níveis nulos ou bastante reduzidos dessa proteína nos músculos. Na ausência da distrofina, as fibras musculares passam por um processo de degeneração e atrofia. O heredograma acima representa agenealogia de uma família na qual houve ocorrência de distrofia muscular de Duchenne, indicada por símbolos com preenchimento preto.

 

Tendo o texto acima como referência inicial, julgue o item subseqüente.

 

A análise do heredograma apresentado permite concluir que o homem do casal da geração I é portador da mutação no gene estrutural que codifica a proteína distrofina.


Outras questões do mesmo concurso: UnB / Vest (UnB) / 2007 / Regular


Questões comentadas
Questões sem comentário
1º Dia - Prova de Língua Estrangeira

1º Dia - Prova de Linguagens e Códigos e Ciências Sociais

2º Dia - Prova de Ciências da Natureza e Matemática

spinner
Ocorreu um erro na requisição, tente executar a operação novamente.