Enunciados de questões e informações de concursos

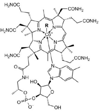
A vitamina B12 é um micronutriente essencial hidrossolúvel, sendo o cobalto o metal central da coenzima conhecida como cobalamina, necessária à ação dessa vitamina. A estrutura da cianocobalamina (R = -CN) está apresentada na figura abaixo.

 

 

Considere as seguintes afirmações sobre a cianocobalamina.

 

I - A geometria molecular do complexo é octaédrica distorcida.

 

II - O ideal para solubilizar a cobalamina são solventes orgânicos apolares, pois a macromolécula é apolar.

 

III - A valência (nox) do cobalto na estrutura representada é +3.

 

Quais estão corretas?



spinner
Ocorreu um erro na requisição, tente executar a operação novamente.