Enunciados de questões e informações de concursos

Universidade Estadual de Ciências da Saúde de Alagoas
Questão 1 de 1

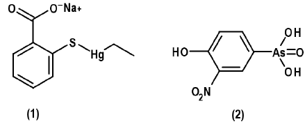
O timerosal e o roxarsone são compostos que apresentam toxicidade em sistemas biológicos, além de serem poluidores ambientais. O timerosal já foi utilizado como princípio ativo do Merthiolate e o roxarsone era empregado na engorda de frangos e porcos, mas a utilização desses compostos para essas finalidades está proibida no Brasil. As estruturas químicas do timerosal (1) e do roxarsone (2) são:

 

 

Os possíveis efeitos tóxicos e o impacto ambiental do timerosal (1) e da roxarsone (2) estão associados à presença, na estrutura dos compostos, de



spinner
Ocorreu um erro na requisição, tente executar a operação novamente.