Enunciados de questões e informações de concursos

Universidade de Brasília
Questão 1 de 1
Assunto: Polímeros

O quadro apresentado, que ilustra a cena em que um tiranossauro levanta um automóvel, foi pintado com tinta acrílica. A palavra acrílica se refere ao tipo de resina presente na tinta: dos poliacrilatos. A resina é o componente que forma o filme sólido aderido à superfície após a aplicação da tinta. Após essa aplicação, ocorre a polimerização do monômero — o qual está inicialmente na forma líquida —, e, assim, origina-se o filme sólido. Um exemplo de monômero das tintas acrílicas é o metacrilato de metila, que pode ser obtido a partir da reação de esterificação do ácido metacrílico com metanol, conforme mostrado a seguir.

 

Tabela I. Entalpias padrão de formação (ΔHf) a 25 ºC e pontos de fusão (PF) e de ebulição (PE)

composto

*ΔHf (kJ/mol) **PF (ºC)

**PE (ºC)

ácido metacrílico

418 15 163

metanol

245 97 65

metacrilato de metila

386 48 100

água

286 0 100
 

* para o estado físico mais estável da substância a 25 ºC e 1,0 bar
** a 1,0 bar

 

Tabela II. Velocidades da reação de polimerização do metacrilato de
metila medidas para diferentes concentrações do monômero e do
iniciador

 

concentração

velocidade

do monômero

do iniciador
x y z
4x y 4z
4x 4y 8z

Considerando as informações fornecidas e os dados apresentados nas tabelas I e II, julgue os itens de 11 a 14 e faça o que se pede no item 15, que é do tipo C.

 

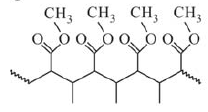
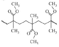
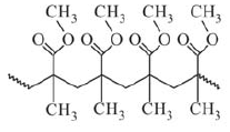
Considerando que a cura da resina de metacrilato de metila consista em uma reação de polimerização por adição, assinale a opção que representa corretamente uma pequena parte da estrutura do polímero formado.



spinner
Ocorreu um erro na requisição, tente executar a operação novamente.