Enunciados de questões e informações de concursos

Polícia Civil do Distrito Federal
Questão 1 de 1
Assunto: Heredogramas

 

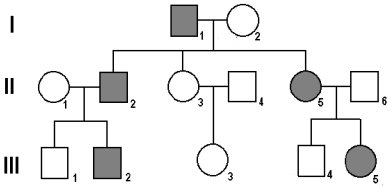
A figura acima ilustra um heredograma de uma família com indivíduos afetados (símbolos escuros) e não afetados (símbolos claros). O padrão de herança mendeliana apresentado nesse heredograma é característico de herança



spinner
Ocorreu um erro na requisição, tente executar a operação novamente.