Enunciados de questões e informações de concursos

   X   

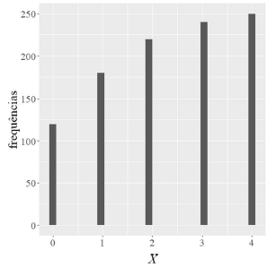
frequência absoluta acumulada
0

120

1 180
2 220
3 240
4 250

A tabela precedente mostra a distribuição de frequências do número diário () de denúncias recebidas pela ouvidoria de um tribunal de justiça.


Com base nos dados apresentados na tabela, julgue o item que se segue.


O histograma a seguir representa corretamente a distribuição de frequências da variável X .



spinner
Ocorreu um erro na requisição, tente executar a operação novamente.