Enunciados de questões e informações de concursos

Empresa de Pesquisa Energética
Questão 1 de 1

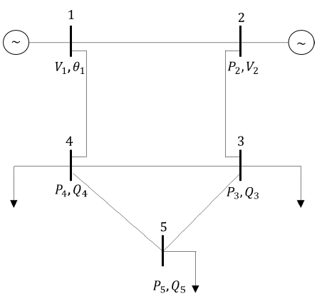
No diagrama unifilar a seguir, mostram-se as variáveis especificadas em cada barra do sistema.

Logo, o problema de fluxo de potência, pelo método de Newton, terá a matriz jacobiana quadrada de ordem igual a



spinner
Ocorreu um erro na requisição, tente executar a operação novamente.