Enunciados de questões e informações de concursos

Universidade de São Paulo
Questão 1 de 1
Assunto: Polímeros

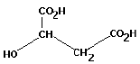
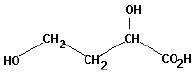
Alguns polímeros biodegradáveis são utilizados em fios de sutura cirúrgica, para regiões internas do corpo, pois não são tóxicos e são reabsorvidos pelo organismo. Um desses materiais é um copolímero de condensação que pode ser representado por

 

 

Dentre os seguintes compostos,

 

I

II

III

IV

 

os que dão origem ao copolímero citado são



spinner
Ocorreu um erro na requisição, tente executar a operação novamente.