Enunciados de questões e informações de concursos

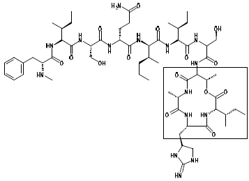
Um grupo de cientistas americanos descobriu uma molécula que representa a primeira nova classe de antibióticos introduzida desde 1987. Batizada de teixobactina, a nova substância apresenta uma estrutura complexa e é produzida por uma bactéria encontrada no solo. Baseado nos testes feitos com a substância em laboratório, estima-se que pode levar 30 anos até que as bactérias desenvolvam resistência à droga.


Folha de São Paulo. Disponível em: <http://www1.folha.uol.com.br/equilibrioesaude/2015/01/1572025-pela-1- vez-desde-87-grupo-descobre-nova-classe-de-antibioticos.shtml>. Acesso em: 10 dez. 2015 (adaptado).


A figura apresenta a estrutura da teixobactina.

 

 

Que funções orgânicas são apresentadas na parte selecionada da teixobactina?



spinner
Ocorreu um erro na requisição, tente executar a operação novamente.