Enunciados de questões e informações de concursos

Centro Universitário Cesmac
Questão 1 de 1
Assunto: Polímeros

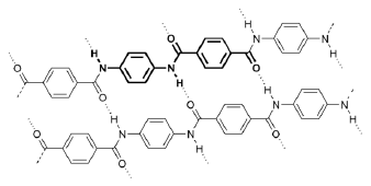
O kevlar, uma fibra robusta usada em coletes a prova de bala, roupas e luvas protetoras contra calor e fogo, etc., apresenta a seguinte fórmula estrutural:

 

 

 

O kevlar pode ser produzido pelos monômeros:

 

 

 

Com relação aos compostos acima, analise as afirmações seguintes.

 

1) O kevlar apresenta em sua estrutura grupos amida e ligações de hidrogênio.

2) O monômero A é o 1,4-diamino bezeno.

3) O monômero B possui dois grupos fenol e dois grupos hidroxila.

 

Está(ão) correta(s):



spinner
Ocorreu um erro na requisição, tente executar a operação novamente.