Enunciados de questões e informações de concursos

Perícia Oficial e Identificação Técnica do Mato Grosso
Questão 1 de 1
Assunto: Bioquímica

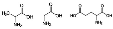
Observe e analise a estrutura dos compostos listados na figura abaixo:

 

Figura: Compostos químicos (alanina, glicina e ácido glutâmico).

 

I. As três substâncias representam aminoácidos.

II. As três substâncias são opticamente ativas.

III. As três substâncias podem reagir tanto com ‘ ácidos quanto com bases.

 

Tendo em vista as afirmativas listadas acima, pode-se concluir que é(são) verdadeira(s):



spinner
Ocorreu um erro na requisição, tente executar a operação novamente.