Enunciados de questões e informações de concursos
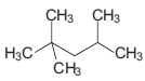
Analise a fórmula que representa a estrutura do iso-octano, um derivado de petróleo componente da gasolina.
De acordo com a fórmula analisada, é correto afirmar que o iso-octano