Enunciados de questões e informações de concursos

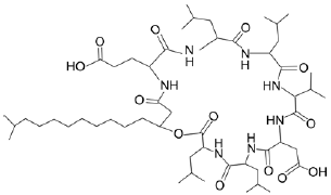
As surfactinas são compostos com atividade antiviral.

 

A estrutura de uma surfactina é

 

 

Os seguintes compostos participam da formação dessa substância:

 

 

Na estrutura dessa surfactina, reconhecem-se ligações peptídicas. Na construção dessa estrutura, o ácido aspártico, a leucina e a valina teriam participado na proporção, em mols, respectivamente, de



spinner
Ocorreu um erro na requisição, tente executar a operação novamente.