Enunciados de questões e informações de concursos

Escola de Especialistas de Aeronáutica
Questão 1 de 1

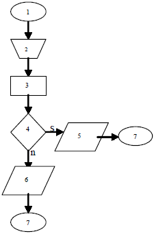
Analise o algoritmo abaixo:

 

1.   Início


2.   Ler  N1,  N2,  N3  e  N4


3.   Calcular  \mathsf{M=\dfrac{N1+N2+N3+N4}{4}}

 

4.   M > 7


5.   Imprimir ‘Aprovado’


6.   Imprimir ‘Reprovado’


7.   Fim

 

Considerando as seguintes notas de um aluno:

 

N1=4,5;  N2=6,5;  N3=7,5  e  N4=9,5  e, ainda, que essas variáveis estão definidas como reais, assinale a alternativa correta:



spinner
Ocorreu um erro na requisição, tente executar a operação novamente.