Enunciados de questões e informações de concursos

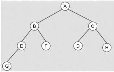
Dada a árvore binária da figura abaixo, assinale a alternativa que possui a sequência de visitas dos vértices que são realizadas pelo algoritmo de percurso Pós-Ordem.

 

 



spinner
Ocorreu um erro na requisição, tente executar a operação novamente.